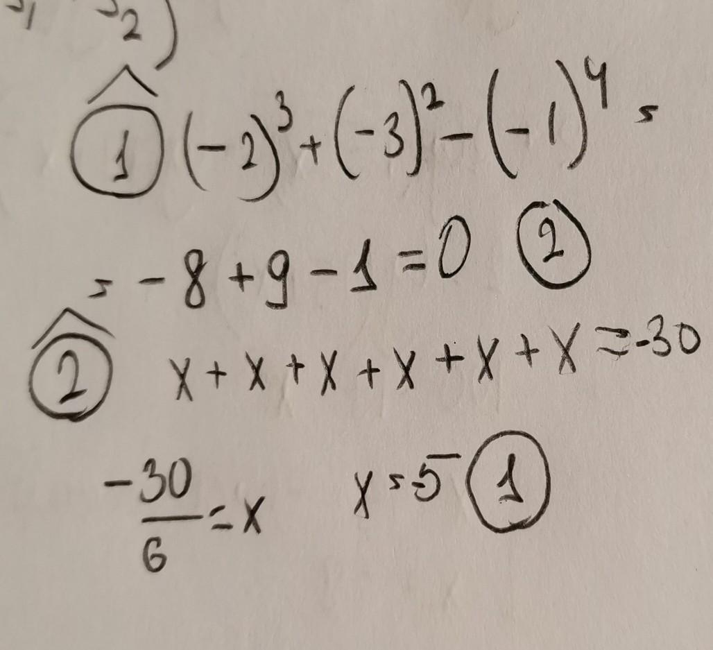
4)Выполните действия (-2)³ + (-3)² - (-1)⁴
1) -18 2) 0 3) 18 4) другой ответ
5) Какие одинаковые числа сложили (...) + (...) + (...) + (...) + (...) + (...) = -30?
1) -5 2) -3 3) -6 4) другой ответ
Ответы
Ответ дал:
1
Пошаговое объяснение:
Во втором я заменила (...) на х
Приложения:

Вас заинтересует
2 года назад
2 года назад
2 года назад
2 года назад
7 лет назад
7 лет назад
9 лет назад