• Предмет: Алгебра
  • Автор: bexa556
  • Вопрос задан 3 года назад

Срочно плииииииз!!!!

Приложения:

bexa556: Кто-нибудь решить? Или пытаться искать в инете?

Ответы

Ответ дал: sunnatxoja77
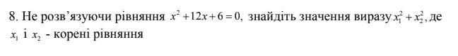
1

по теореме Виета:

x^2+bx+c=0\\\left \{ {{x_1+x_2=-b} \atop {x_1x_2=c}} \right.

x^2+12x+6=0\\\left \{ {{x_1+x_2=-12} \atop {x_1x_2=6}} \right.

(x_1+x_2)^2=(-12)^2\\x_1^2+2x_1x_2+x_2^2=144\\\\x_1^2+x_2^2=144-2x_1x_2\\x_1^2+x_2^2=144-2*6\\x_1^2+x_2^2=144-12\\x_1^2+x_2^2=132


bexa556: ЛУчший
Вас заинтересует