• Предмет: Биология
  • Автор: smernovvitalij534
  • Вопрос задан 3 года назад

13. Под влиянием чего молекула АТФ подвергается гидролизу?

13 (a). Записать формулу гидролиза АТФ

Ответы

Ответ дал: sovagolova
8

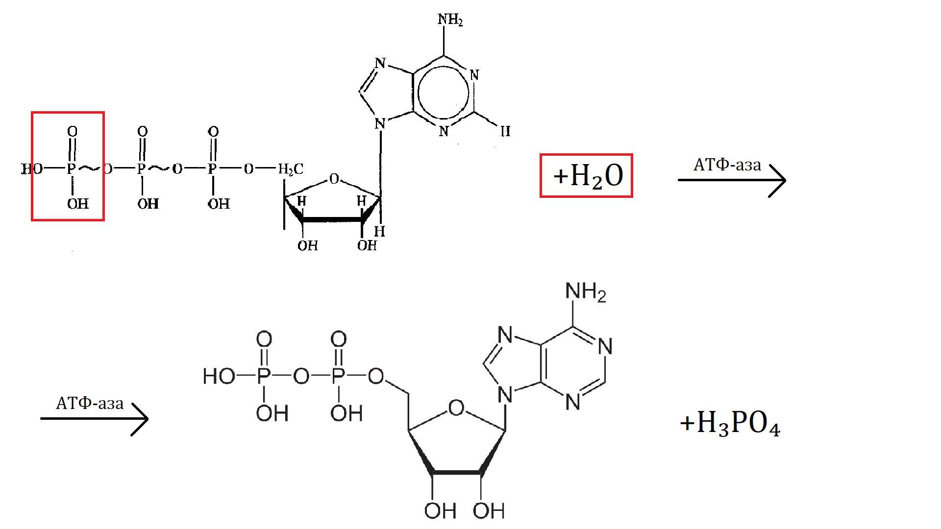
13. Молекула АТФ, а конкретно её макроэнергетические связи, легко подвергаются гидролизу под воздействием фермента АТФ-аза (аденозинтрифосфатаза).

13а. АТФ + H₂O \longrightarrow АДФ + H₃PO₄ + E

Гидролизировался один из остатков фосфорной кислоты, к которому и присоединилась вода. Конкретно схему можно посмотреть в приложении снизу.

Приложения:
Вас заинтересует