• Предмет: Математика
  • Автор: moroz30308
  • Вопрос задан 3 года назад

помогите пожалуйста ​

Приложения:

Ответы

Ответ дал: Юленька194
0

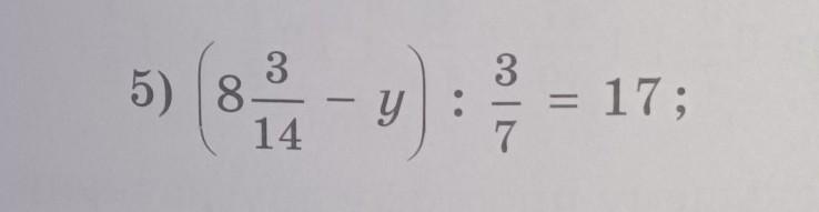
(8\frac{3}{14} -y):\frac{3}{7} =17

8\frac{3}{14} -y =17*\frac{3}{7}

8\frac{3}{14} -y =\frac{51}{7}

8\frac{3}{14} -y =7\frac{2}{7}

y =8\frac{3}{14}-7\frac{2}{7}

y =7\frac{17}{14}-7\frac{4}{14}

y=\frac{13}{14}

Вас заинтересует