кто быстрее всех решит тому респект
Приложения:

Аноним:
Окей жди
Ответы
Ответ дал:
0
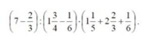
Ответ:
19/3:(7/4-1/6)*(6/5+2 2/3+1/6)=19/3:19/12*121/30=19/3*12/19*121/30=4*121/30=2*121/15=242/15
Пошаговое объяснение:
ну вроде бы ((
Вас заинтересует
2 года назад
2 года назад
2 года назад
2 года назад
7 лет назад
9 лет назад