Ответы
Ответ дал:
0
Ответ:
ответ на ваше задание ᕙ( • ‿ • )ᕗ
Приложения:

Ответ дал:
0
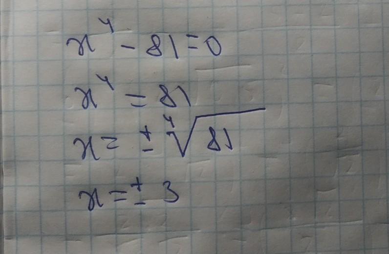
Ответ:
±3
Объяснение:
x^4-81=0
(x^2-9)(x^2+9)=0
x^2-9=0
x^2=9
x=±3
x^2+9=0
x^2=-9
x∈∅ в действительных корнях
Вас заинтересует
2 года назад
2 года назад
2 года назад
2 года назад
7 лет назад
7 лет назад
9 лет назад