Ответы
Ответ дал:
1
Ответ:
Пошаговое объяснение:
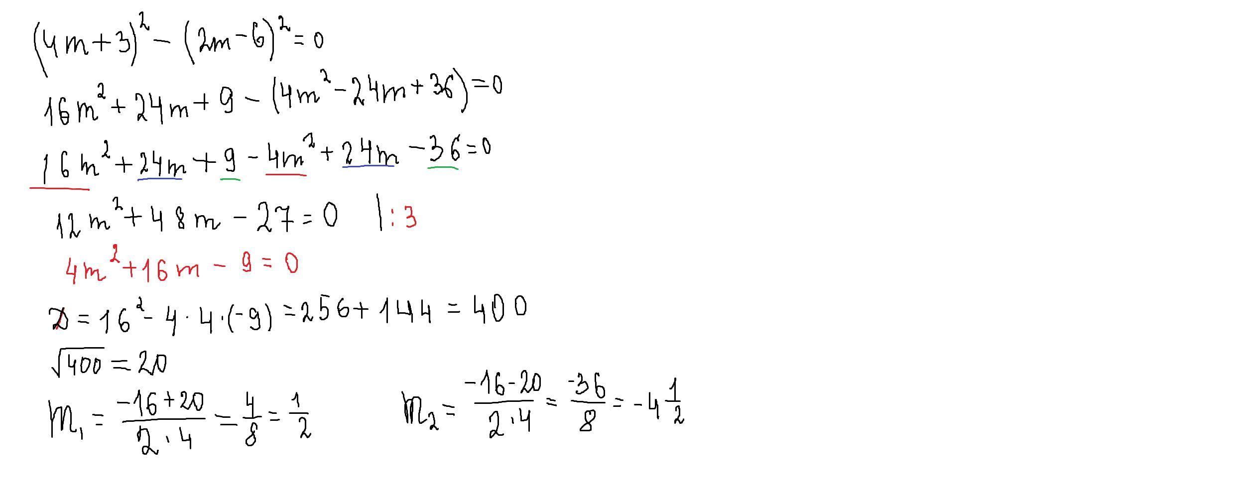
(4m+3)^2-(2m-6)^2=0
16m^2+24m+9-(4m^2-24m+36)=0
16m^2+24m+9-4m^2+24m-36=0
12m^2+48m-27=0
4m^2+16m-9=0
D=256+144 = 400
√400=20
x=(-16±20)/8 = 0.5 ; -4.5
noidex:
дружище,в числовых рядах шаришь?Если да то не мог ты мне помочь пожалуйста.https://znanija.com/task/41433964
Ответ дал:
1
Ответ:
m1=1\2 m2= - 4 1\2
Пошаговое объяснение:
Приложения:

Вас заинтересует
2 года назад
2 года назад
7 лет назад
7 лет назад