Баклажани двох ґатунків ціною 10 кг/грн і 6 кг/грн готують на продаж. Скільки кілограмів баклажанів кожного ґатунку потрібно взяти, щоб отримати 20 кг суміші ціною 7грн/кг?
Ответы
Ответ дал:
8
Ответ:
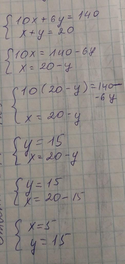
нужно взять 5кг баклажанов по 10грн/кг (то что я брала за Х) и 15кг по 6грн/кг.(то я брала за У)
Пошаговое объяснение:
на фото уравнение , как я решала)
Приложения:

alevtinakardash20:
спасибо.но единственное но эту задачу надо было решить на уровне 5 класса. прикол, прошло 5 лет, а я могу задачу решить только системой уравнений, а вот эти пропорции это жесть
Вас заинтересует
2 года назад
2 года назад
9 лет назад
9 лет назад