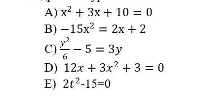
Определите, какое из приведенных ниже уравнений является неполным квадратным уравнением
Приложения:

Ответы
Ответ дал:
4
Ответ:
E
Объяснение:
ax²+bx+c=0
a≠0
E) в данном уравнении нет коэффициента b
alinadmitrievna81:
ПОМОГИТЕ ПОЖАЛУЙСТА ОЧЕНЬ ПРОШУ ВАС С АЛГЕБРОЙ УМОЛЯЮ ВАС
Вас заинтересует
2 года назад
2 года назад
2 года назад
7 лет назад
7 лет назад
9 лет назад
9 лет назад