Ответы
Ответ дал:
1
Решение на фотографии)
Ответ: 1) - 1,5; 2) 6.
Приложения:

Ответ дал:
0
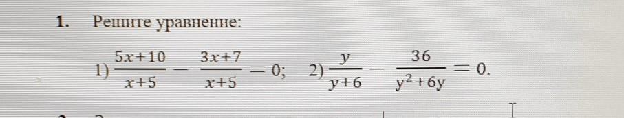
(5x + 10)/(x + 5) - (3x + 7)/(x + 5) = 0
x ≠ - 5
(5x + 10- (3x + 7)/(x + 5) = 0
(2x + 3)/(x + 5) = 0
2x + 3 = 0
x = -3/2
-------
y/(y + 6) - 36/(y² + 6y) = 0
y ≠ 0 y ≠ - 6
y²/y(y + 6) - 36 /y(y + 6) = 0
(y² - 36)/y(y + 6) = 0
(y - 6)(y + 6)/y(y + 6) = 0
(y - 6)/y = 0
y - 6 = 0
y = 6
Вас заинтересует
2 года назад
2 года назад
2 года назад
7 лет назад
7 лет назад
9 лет назад