ДАЮ 30 баллов! ПОМОГИТЕ ПОЖАЛУЙСТА!
Найдите значения суммы и произведения корней уравнения:
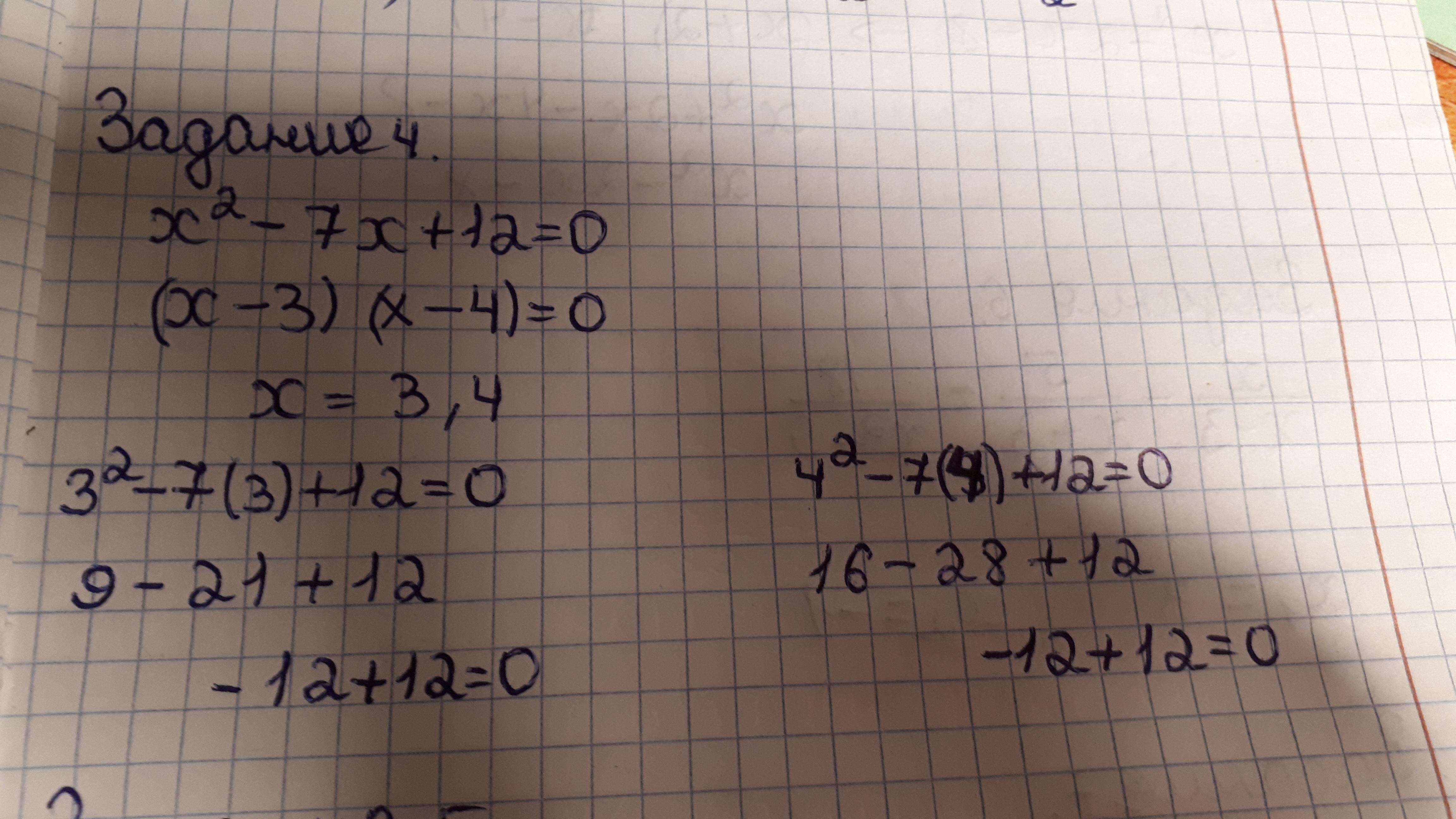
х2-7х+12—0
варианты на фото
Приложения:

Ответы
Ответ дал:
3
Ответ:тут решение,а также ответы в Онлайн Мектеп 100%%правильно
Объяснение:
Приложения:


isakovagulnaz:
можете помочь с СОЧем по алгебре 6 задание
Вас заинтересует
2 года назад
2 года назад
7 лет назад
7 лет назад
9 лет назад