Ответы
Ответ дал:
0
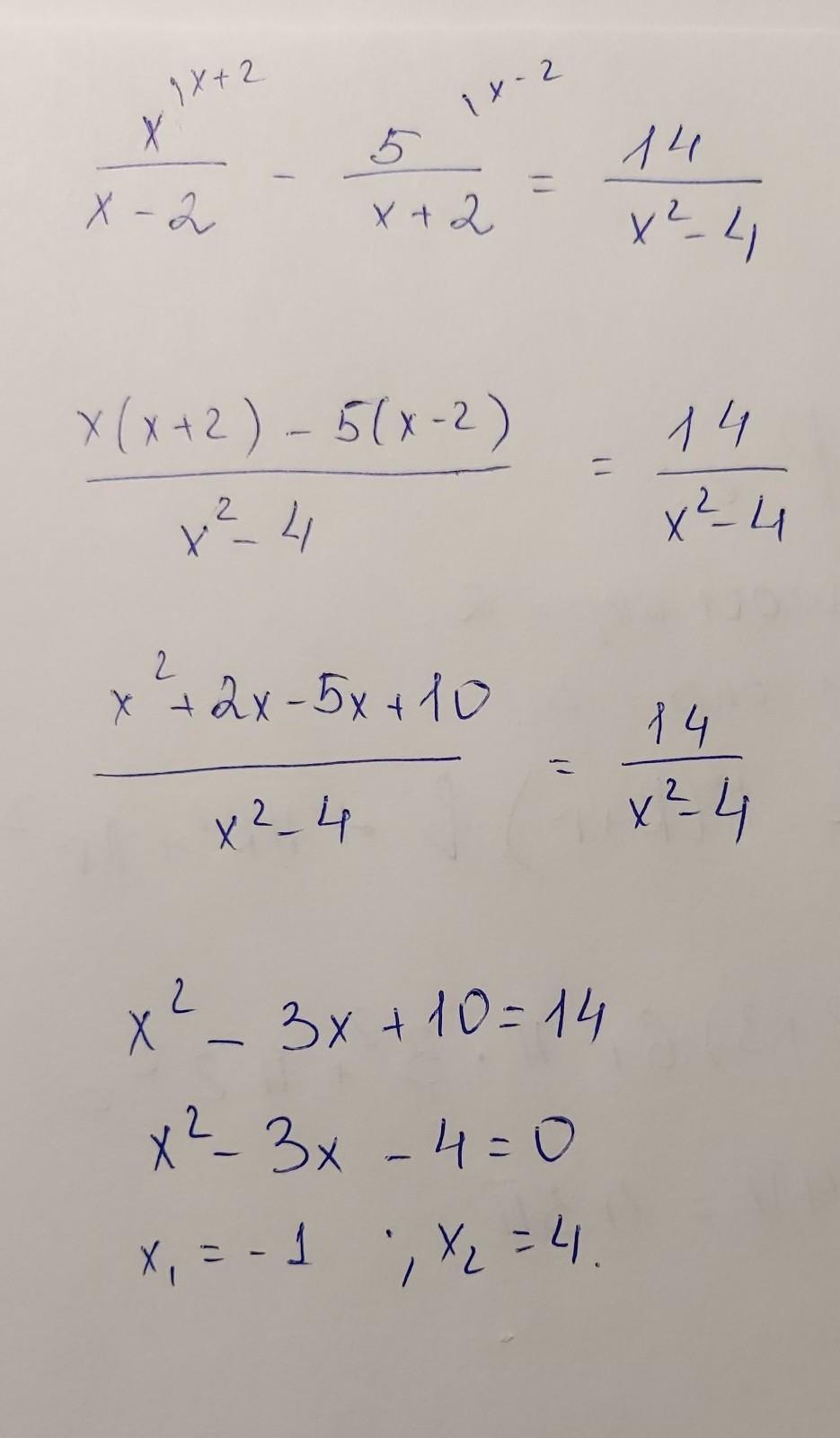
Ответ:
-1;4
Объяснение:
Решение во вложении. Удачи
Приложения:

Вас заинтересует
2 года назад
2 года назад
2 года назад
2 года назад
7 лет назад
7 лет назад
9 лет назад