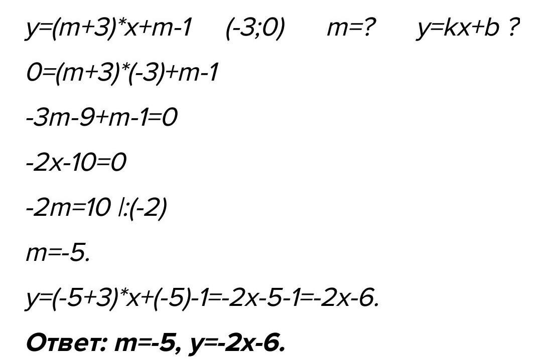
график функции заданной уравнением игрек равно 3 - 1 x + 2 а + 1 пересекают с осью абсцисс в точке с координатами минус 10 А Найдите значение a b Запишите функцию в виде y + y равно X KX + B
Ответы
Ответ дал:
0
ответ:на фото.::::::::::::::::::::::)
Приложения:

Вас заинтересует
2 года назад
2 года назад
7 лет назад
7 лет назад
9 лет назад