ПОМОГИТЕ ПОЖАЛУЙСТА, ПОД БУКВОЙ Е
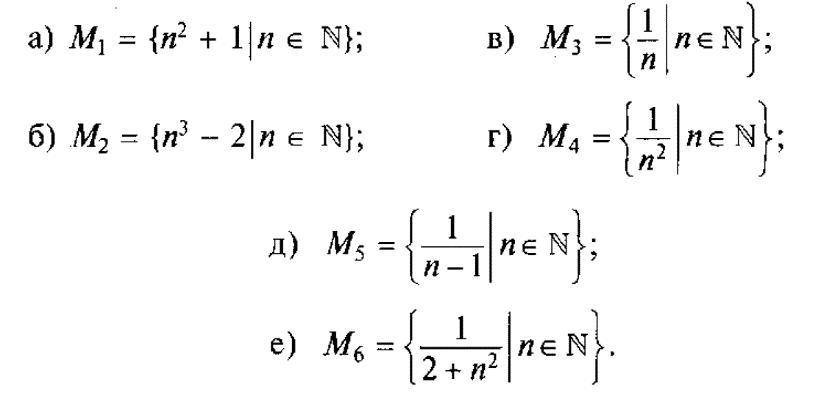
Дано множество:
1. Укажите, какие из данных чисел принадлежат этому множеству: 3, 4, 5, 13, 25, 1/9,1/6,1/4.
2. Запишите символически, какие из данных числа не принадлежат указанному множеству.
Приложения:

Ответы
Ответ дал:
1
Ответ:
число 3 принадлежит этому множеству
Вас заинтересует
2 года назад
2 года назад
7 лет назад
7 лет назад
9 лет назад
9 лет назад