• Предмет: Математика
  • Автор: FallestCat17
  • Вопрос задан 3 года назад

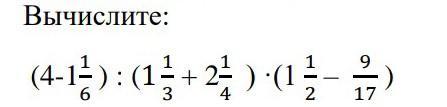
пжжжжжж срочно!!!!!!!!!!​

Приложения:

Ответы

Ответ дал: nastasekenova
0

я не понимаю матешу спроси у другово

Вас заинтересует