• Предмет: Математика
  • Автор: kulzanovabaan288
  • Вопрос задан 3 года назад

Найдите периметр треугольника 1/3м,2 4/5 м,1 4/15м​

Приложения:

Ответы

Ответ дал: 1warmcat
3

Ответ:

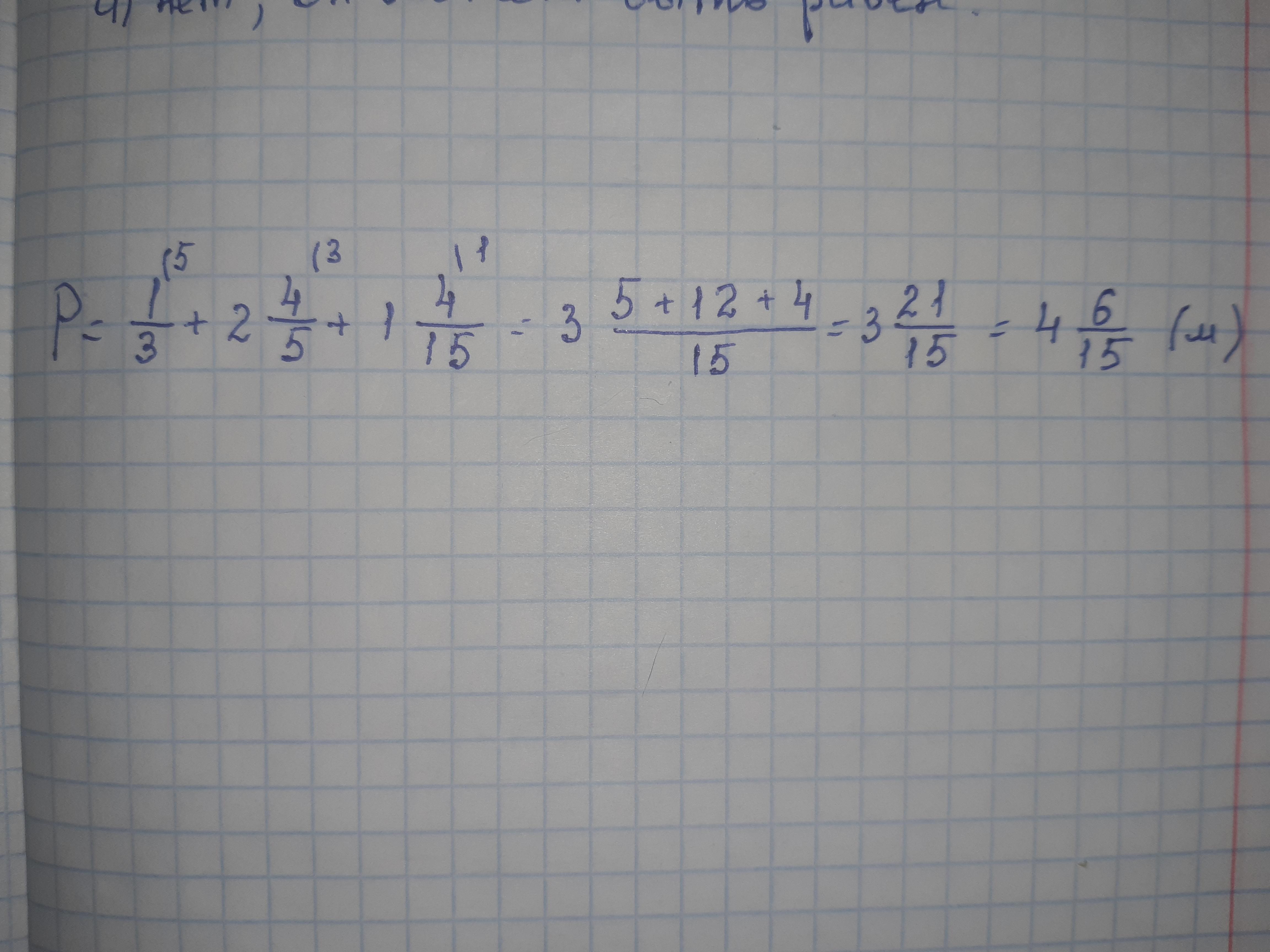
1/3+2 4/5+1 4/15=5/15+2 12/15+1 4/15=3 21/15=4 6/15


kulzanovabaan288: Точно правильно?
1warmcat: Да
Ответ дал: foverlord510
16

Ответ:

4 целых 6/15 (м)

Пошаговое объяснение:

Приложения:

ganstereasy08: Спасибо ты мне в 10000000 раз облегчил жизнь
foverlord510: пожалуйста) я рад)
aldiartutebaev: СПАСИБО я это уже минут 40 ищу
Вас заинтересует