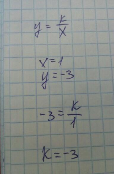
Найдите значение коэффициента k, если известно что график функции y=k/x проходит через точку с координатами A(1;-3)
Ответы
Ответ дал:
3
Объяснение:
оцени пожалуйста ,удачки
Приложения:

Вас заинтересует
2 года назад
2 года назад
2 года назад
2 года назад
7 лет назад
7 лет назад