• Предмет: Математика
  • Автор: kurmangalievash134a
  • Вопрос задан 3 года назад

Помогите решите что сможите
Даю 40

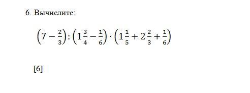
Приложения:

Ответы

Ответ дал: muhammedulanuly09
1

Ответ:

4. у=63/13

Пошаговое объяснение:

Оааоаоаооаоа


kurmangalievash134a: И тогда дам корону
kurmangalievash134a: Пожалуйста
kurmangalievash134a: заранее спасибо
muhammedulanuly09: С хорошим понятием?
muhammedulanuly09: Ладно
muhammedulanuly09: 161/13+у-126/13=98/13
muhammedulanuly09: 35/13+у=98/13
muhammedulanuly09: у=98/13-35/13
muhammedulanuly09: у=63/13
kurmangalievash134a: Спасибо
Вас заинтересует