Ответы
Ответ дал:
0
Ответ:
Ответ дал:
3
Задача:
Используя свойства степеней, вычислите:
Ответ:
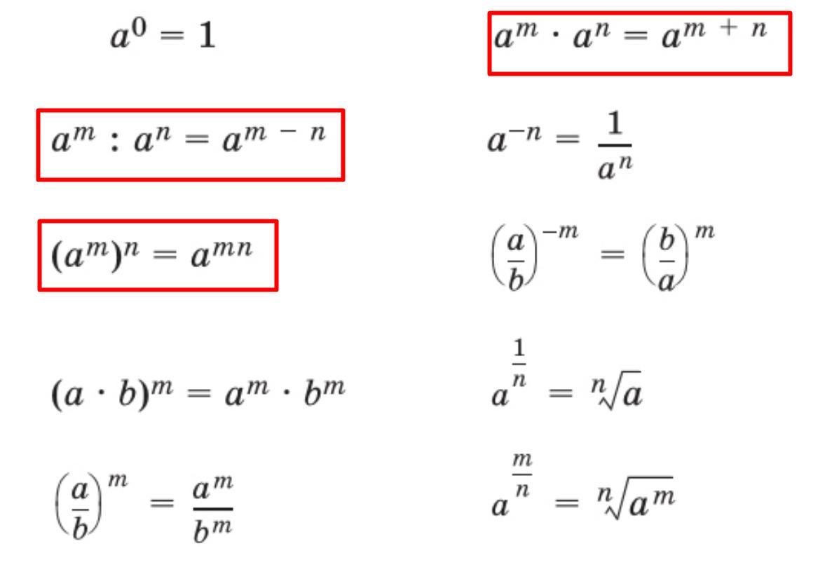
Объяснение:
*На фотографии свойства степеней (красным выделены те, которые использовались при решении).
Приложения:

Вас заинтересует
2 года назад
2 года назад
2 года назад
7 лет назад
7 лет назад
9 лет назад