• Предмет: Математика
  • Автор: sergeevsvukg
  • Вопрос задан 3 года назад

4. Решите уравнение:
4 3\5 + (х – 2 5\6)=5 2/3 ​

Приложения:

Ответы

Ответ дал: Lolifop
5

Ответ:

4 3\5 + (х – 2 5\6)=5 2/3 ​

23/5+(х-17/6)=17/3

23/5+х-17/6=17/3

53/30+х=17/3

х=17/3-53/30

х=39/10

Пошаговое объяснение:


Lolifop: Я получила 5
sergeevsvukg: хорошо поверю тебе спасибо
sergeevsvukg: а как ты получил 23 \5 там же 5 2\3
Lolifop: Я проверила в приложении и там так
sergeevsvukg: а ну ладно тогда
nas544251: спасибо
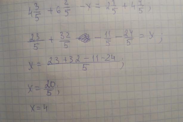
Ответ дал: neremenko336
2
Вот готово держи аааааааааа
Приложения:

sergeevsvukg: спасибо большое
Вас заинтересует