• Предмет: Алгебра
  • Автор: perizat011207
  • Вопрос задан 3 года назад

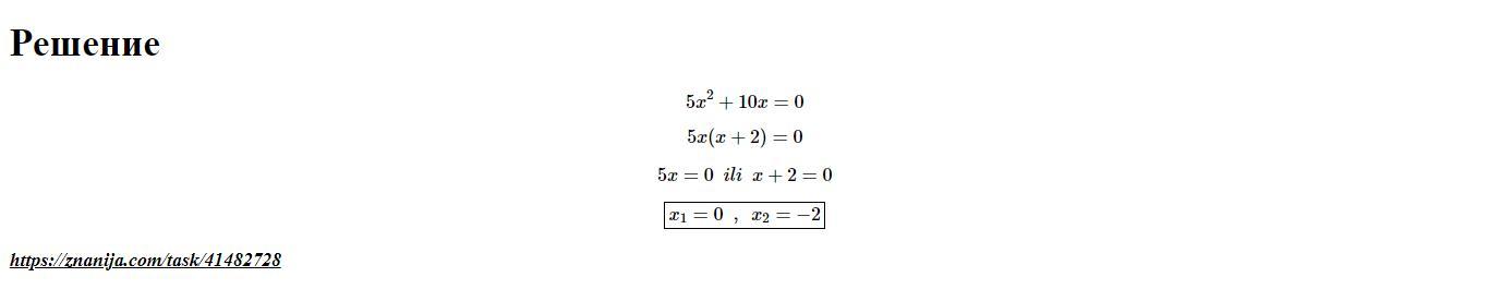
решите уравнение 5x²+10x=0​

Ответы

Ответ дал: webdev
0

....................

Приложения:
Вас заинтересует