определите какое из преведённых ниже уравнений является неполным квадратным
уравнением
(С РЕШЕНИЕМ)
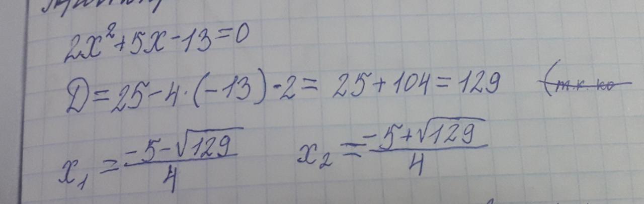
а)2х²+5х-13=0
с)х²+х-1=4х
д)3х²-9х=6
е)14-2+3х²=0
Ответы
Ответ дал:
0
Ответ:
e)
Объяснение:
Остальные уравнения являются полными квадратами, потому что у них ни один из коэффициентов a, b, c не равен нулю, в отличии от варианта е
3x^2 = 12
x^2 = 4
x = 2, x = -2
Аноним:
если не правельно кину бан на ответ
Ответ дал:
0
Неполным называется такое квадратное уравнение, в котором хотя бы один из коэффициентов, кроме старшего (либо второй коэффициент, либо свободный член), равен нулю. Для этого во всех уравнениях найдем подобные члены или перенесем все значения в одну сторону.
Решив все уравнения можно понять, что неполным кв. урав. является Е)
Приложения:




Вас заинтересует
2 года назад
2 года назад
2 года назад
2 года назад
7 лет назад
7 лет назад