• Предмет: Алгебра
  • Автор: krissel2004
  • Вопрос задан 3 года назад

Солнышки, помогите пожалуйста​

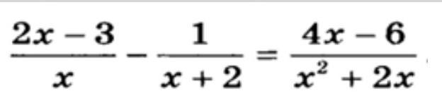
Приложения:

Ответы

Ответ дал: Аноним
1

Ответ:

x=2

Объяснение:

(2x-3)(x+2)-x=4x-6

2x^2-6+x-x-4x+6=0

2x^2-4x=0  x=0  x=2

x≠0  x≠-2

Вас заинтересует