• Предмет: Математика
  • Автор: polinaf088
  • Вопрос задан 3 года назад

90+70 8/10 решите пожалуйста,дам 30 баллов​

Ответы

Ответ дал: Аноним
1

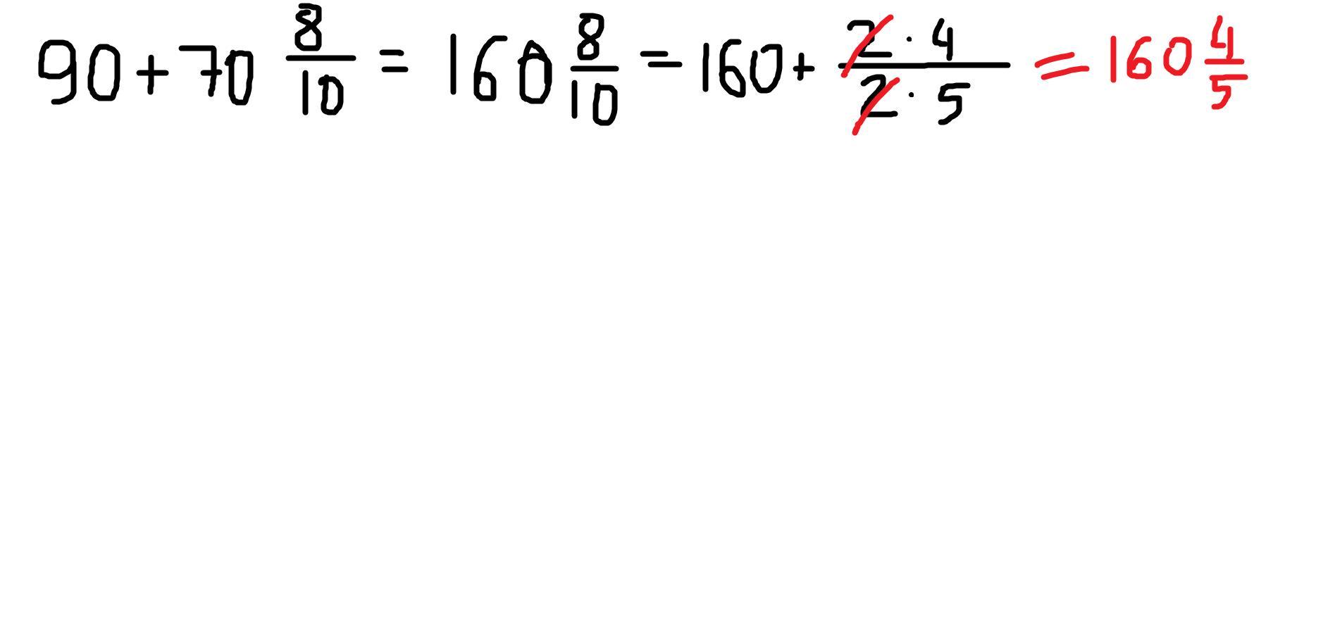
Ответ: 160 4/5

Пошаговое объяснение: так как число 90 целое число, то надо сложить 90 + 70=160 и прибавить дробь 8/10 и ответ будет 160 8/10 но дробь 8/10 надо сократить и получаем  160 4/5

90+70 8/10 = 160 8/10 = 160 4/5

(подробнее на фото )↓↓

Приложения:

polinaf088: спасибо большое очень выручил
Аноним: рад всем и всегда помогать!)
Вас заинтересует