• Предмет: Алгебра
  • Автор: Аноним
  • Вопрос задан 3 года назад

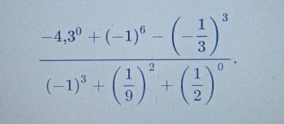
срочно!!! даю 30 баллов​

Приложения:

Ответы

Ответ дал: Gasq
0

Ответ:

Вот ответ

Объяснение:на фото

Почему не правильный но он всегда правильный будет

Приложения:

Аноним: щас закунчу тест и поставлю
Ответ дал: kimimarya
0

Ответ:

ответ будет 3

Объяснение:

любое число у которого там 0 будет равен 1

значит -4,3'0=1

-1'6=1 так как у 1 всегда будет 1

короче там типа вычесляешь и т.д.Я просто по русскому не силен поэтому не ммогу обьяснить.Надеюсь понял

Приложения:

Аноним: ахренеть гений мысли держи лучший ответ
Вас заинтересует