• Предмет: Алгебра
  • Автор: gosamalyh5045
  • Вопрос задан 3 года назад

Помогите, пожалуйста

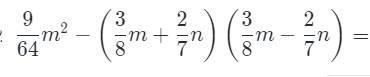
Приложения:

Ответы

Ответ дал: sm698961974
0

4/49 n²

или

≈0,0816327n²

Вас заинтересует