• Предмет: Математика
  • Автор: organics
  • Вопрос задан 3 года назад

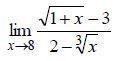
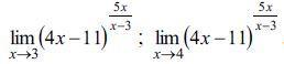
Вычислить пределы функций

Приложения:

olgaua64: Через производние пойдет?
organics: да
olgaua64: Ок

Ответы

Ответ дал: olgaua64
1

Відповідь:

Покрокове пояснення:

Предел произведения функций равно произведению их границ

(1+х)^(1/2) -3. Производная =(1/2)/((1+х)^(1/2))

При х→8 имеем (1/2) / (9^(1/2))=1/6

2-х^(1/3) производная -1/3 х^(-2/3)

При х→8 имеем -1/3 × 8^(-2/3)= -1/3×2^(-2)=-1/12

Поетому 1/6 / (-1/12)= -2

2) степень можно привести к виду

(5(х-3)+15)/(х-3)=5+1/(х-3)

4х-11=4(х-3)+1

Воспользуемся вторим замечательним пределом

(1+кх)=е^к при х→0

Можем записать при у=х-3 и у→0

(1+4у)^(5+1/у)=(1+4у)^5 × (1+4у)^(1/у)

При у→0 имеем 1^5× е^4= е^4

Вас заинтересует