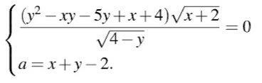
Найдите все значения параметра a, при каждом из которых система уравнений имеет хотя бы два решения.
Приложения:

Ответы
Ответ дал:
0
Ответ:
Сначала записываем ОДЗ, потом упрощаем числитель, произведение равно 0, когда хотя бы один из множителей равен 0, приравниваем к нулю, отмечаем прямые на графике, учитывая одз, отмечаем выколотые точки и находим значения а,при которых прямая имеет более 2 решений(пересечений с другими прямыми)
Объяснение:
Приложения:


Вас заинтересует
2 года назад
2 года назад
7 лет назад
9 лет назад