• Предмет: Математика
  • Автор: Belka7463
  • Вопрос задан 3 года назад

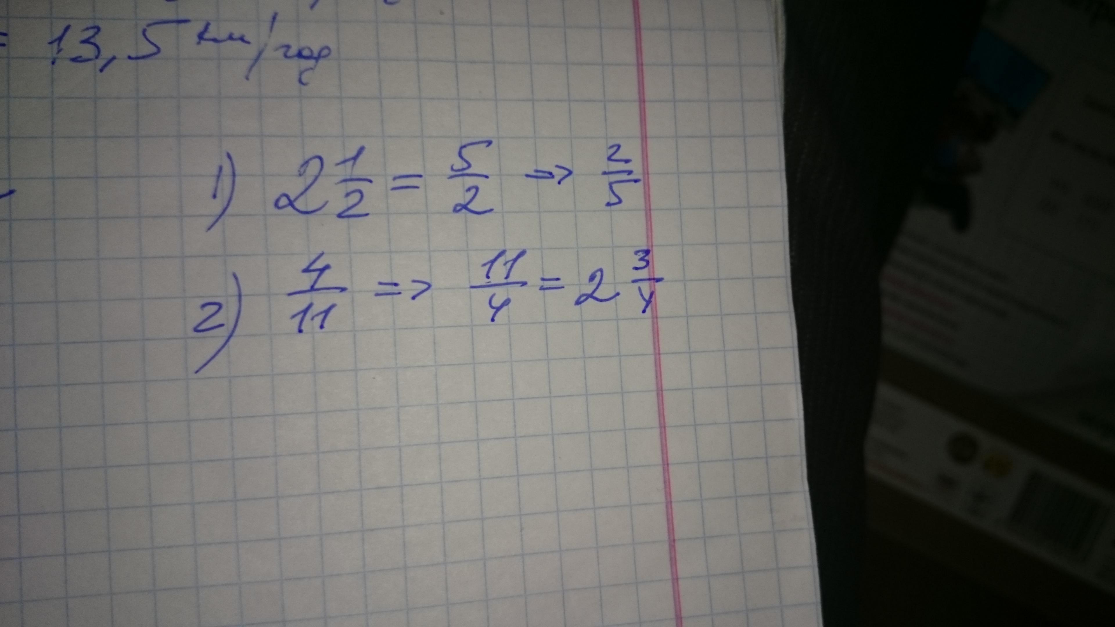
Запиши обратное число 2 целых 1/2;

4/11
Пожалуйста помогите эти две задачи . Дам 20 балл


Belka7463: Пожалуйста только пошагово
Belka7463: Только решите правильно пожалуйста!
Аноним: selam
Аноним: ouxhicsgi2x3xgowxohd2u92du3fhvru3gj3gid2hzwveiv ouxhicsgi2x3xgowxohd2u92du3fhvru3gj3gid2hzwklhajg38z8g ve h82sh8d

Ответы

Ответ дал: galina2949
0

Відповідь:

Покрокове пояснення:

21/2=

Приложения:
Вас заинтересует