• Предмет: Математика
  • Автор: roze321
  • Вопрос задан 3 года назад

Помогите пожалуйста!

Приложения:

Ответы

Ответ дал: kapycta123asdasd
1

Ответ:

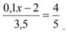
упростим: 5(х - 20) = 140

х-20=28

х=28+20

х=48

Пошаговое объяснение:

Незачто дружище!

Вас заинтересует