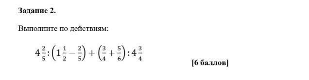
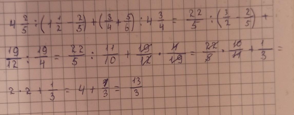
Задание 2. Выполните по действиям: 4 2/5 / (1 1/2 - 2/5) + (3/4 + 5/6) / (4 3/4)
малю дам баллы 20 баллов дам пж малю сор идёт
Приложения:

Ответы
Ответ дал:
1
Ответ:
Приложения:

Вас заинтересует
2 года назад
2 года назад
2 года назад
7 лет назад
7 лет назад
9 лет назад
9 лет назад