• Предмет: Математика
  • Автор: Tukuzhukova
  • Вопрос задан 3 года назад

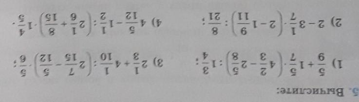
Вычислите: 1) 5/9+1 5/7•(4 2/3-2 5/8):1 3/4 2)2-3 1/7•(2-1 9/11):8/21 3)2 1/3+4 1/10:(2 7/15-5/12)•5/6 4)4 5/12-1 1/2:(2 1/6+8/15)•1 4/5​

Приложения:

Ответы

Ответ дал: hamraevdias627
0

ВОООТ ОТВЕТЫЫЫЫ!!!!! УДАЧИ В УЧЕБЕ!!!!!

Приложения:
Вас заинтересует