• Предмет: Математика
  • Автор: tihonbestu
  • Вопрос задан 3 года назад

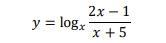
Найти область определения функции

Приложения:

Ответы

Ответ дал: gamesfarhad
2

y =  logx( \frac{2x - 4}{x + 5} )  \ \\  \frac{2x - 1}{x + 5}  = 1 \\ 2x - x = 5 + 1 \\ x = 6

Вас заинтересует