• Предмет: Математика
  • Автор: karimlosanova
  • Вопрос задан 3 года назад

помогите пж пж пж 5 балов!!!!​

Приложения:

Ответы

Ответ дал: pavelantonchik2208
1

Ответ:

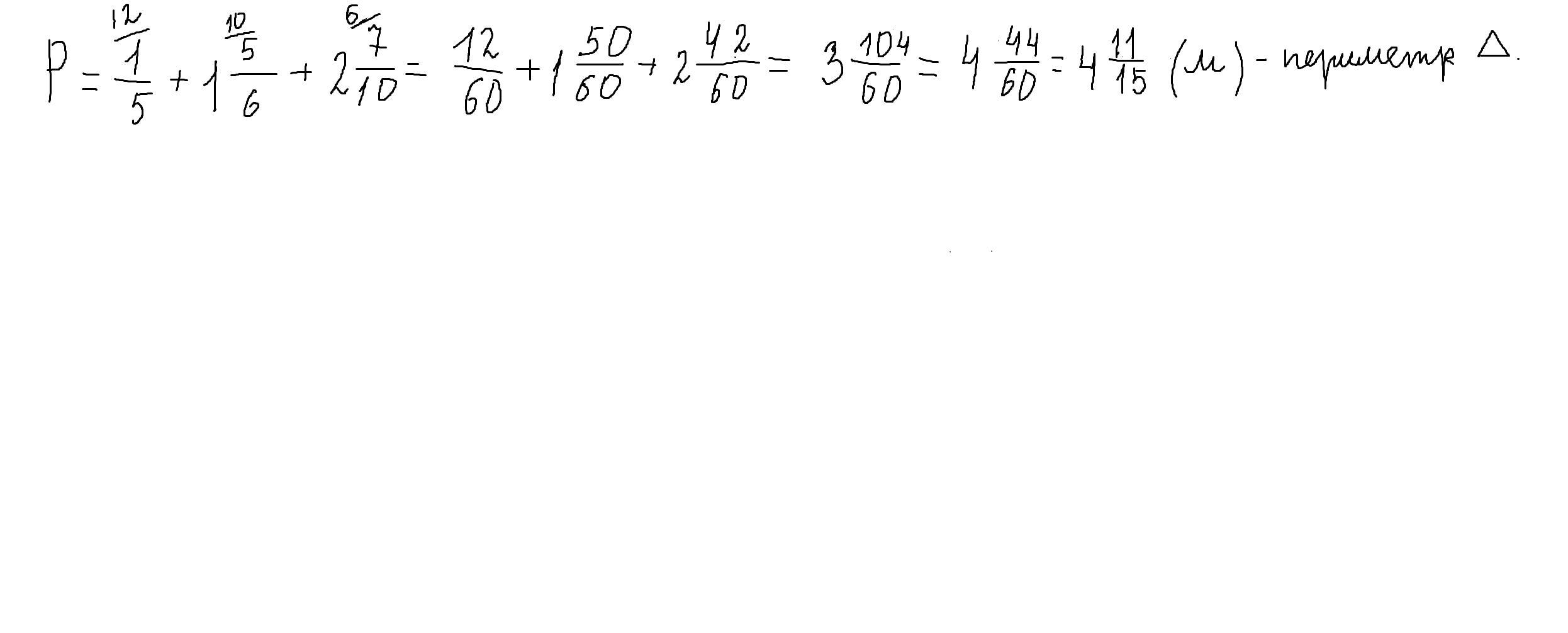
Периметр = 1/5 + 1 5/6 + 2 7/10

Периметр = 4 44/60     сократим = 4 11/15


parus77: проверьте ваш ответ(целую часть)
pavelantonchik2208: а, натупил, заметил
Ответ дал: parus77
1

Ответ:

периметр равен 4 11\15 м

Пошаговое объяснение:

Приложения:
Вас заинтересует