• Предмет: Математика
  • Автор: fantom1378
  • Вопрос задан 3 года назад

задания ПОЛНОСЬЮ ПОШАГОВОЕ РЕШЕНИЕ если не будет пошагового РЕШЕНИя сразу репорт поскольку с канкулятора я тоже списать могу...​

Приложения:

parus77: вообще то он называется-Калькулятор.
fantom1378: неправильно написал знаю (я торопился поскольку срочно надо было)

Ответы

Ответ дал: geomzna
0

1) 7 - 3 2/3 = 3 1/3

2) -1 3/4 + 3 1/6 = -1 9/12 + 3 2/12 = 1 5/12

3) 2 2/9 - 4 1/6 = 2 4/18 - 4 3/18 = - 1 17/18

4) 3 1/3 : 1 5/12 = 10/3 : 17/12 = 10/3 * 12/17 = 10/1 * 4/17 = 40/17

5) 40/17 * (-1 17/18) = 40/17 * (-35/18) = 20/17 * (-35/9) = -700/153 = -4 88/153

Ответ дал: parus77
0

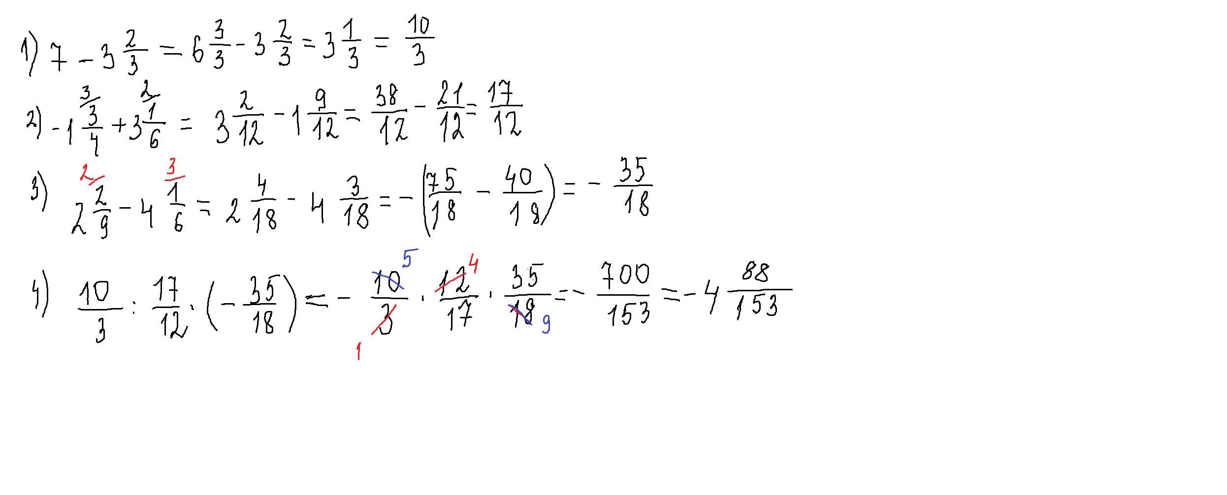
Ответ:

-4 88\153

Пошаговое объяснение:

решение по действиям внизу

Приложения:
Вас заинтересует