Ответы
Ответ дал:
1
.*1) а) (10а²у)² * (3ау²)³ = 100а⁴у² * 27а³у⁶ = 2700а⁷у⁸
б) (-1/2ху³)³ * (4у⁵)² = 0,125х³у⁹ * 16у¹⁰ = 2х³у¹⁹
в) -(3х⁶у²)³ * (-х²у)⁴ = -27х¹⁸у⁶ * х⁸у⁴ = -27х²⁶у¹⁰
г) (-5аb⁶)⁴ * (0,2a⁶b)⁴ = 625a⁴b²⁴ * 0,0016a²⁴b⁴ = a²⁸b²⁸ = (ab)²⁸
.*1) a) 15a^mb² * (-a³b)⁴ = 15a^mb² * a¹²b⁴ = 15a^(12+m)b⁶
^ - степень
б) -a⁶b^(2n) * (-a⁸b^n)² = a²b^(2n) * a¹⁶ * b^(2n) = a¹⁸b^(4n)
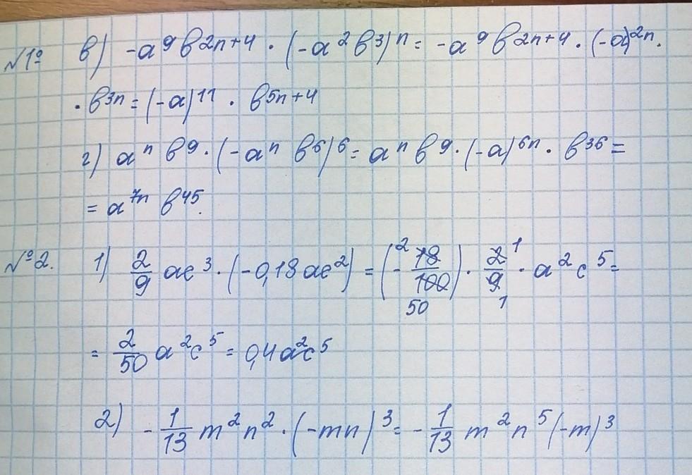
Все остальное на фото:
Приложения:

leomes999:
Можешь ещё с 1 помочь?(((
Вас заинтересует
2 года назад
2 года назад
2 года назад
7 лет назад
7 лет назад
9 лет назад