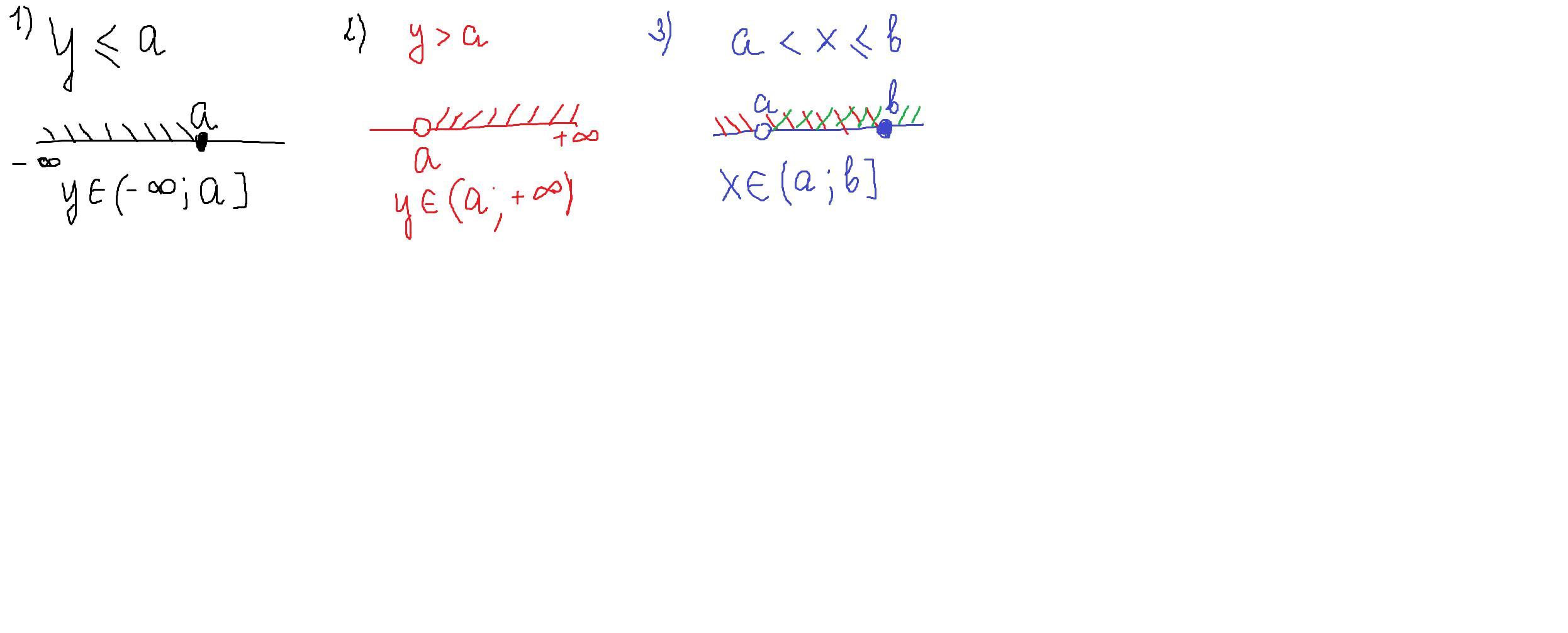
изобразить неравенства в виде промежутка и изобразить на координатном луче 1)y <или=a 2)y>a 3)a<x<или=b
Ответы
Ответ дал:
1
Ответ:
Пошаговое объяснение:
смотри внизу
Приложения:

Вас заинтересует
2 года назад
2 года назад
2 года назад
7 лет назад
7 лет назад
9 лет назад
9 лет назад