• Предмет: Математика
  • Автор: kalasov03
  • Вопрос задан 3 года назад

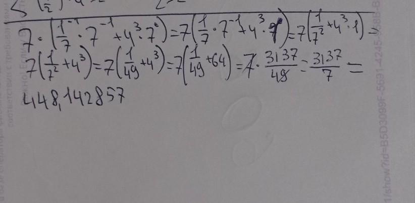
Решите пожалуйста!!!

Приложения:

kalasov03: только там 1/7^-1 т.е вся дробь в ^-1

Ответы

Ответ дал: danilort
0

Ответ:

как то так................

Приложения:
Вас заинтересует