• Предмет: Математика
  • Автор: samarinaulia58
  • Вопрос задан 3 года назад

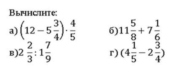
помогите вычислить даю 10 баллов это сор​

Приложения:

Ответы

Ответ дал: maigulbaimashova40
0
1 а )5
2а )1 2\1
3б)18 24/19
4 г )1 20\9

maigulbaimashova40: Это правильно
maigulbaimashova40: Нууу
maigulbaimashova40: Не знаю
Вас заинтересует