Ответы
Ответ дал:
1
Ответ:
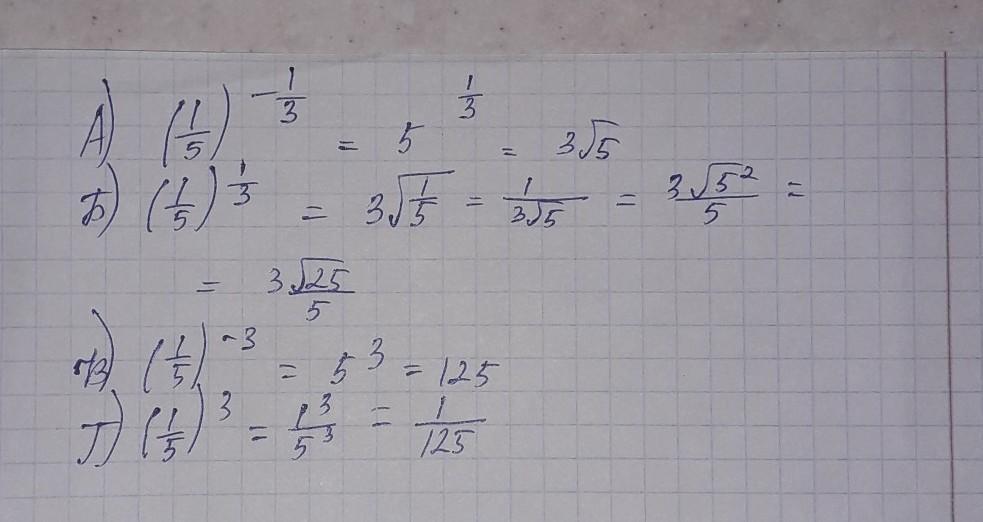
Надеюсь правильно поняла вопрос и сделала, то решение
Приложения:

Аноним:
спасибо тебе большое
Вас заинтересует
2 года назад
2 года назад
2 года назад
2 года назад
7 лет назад
7 лет назад
9 лет назад