• Предмет: Геометрия
  • Автор: tumarisprimbetova
  • Вопрос задан 3 года назад

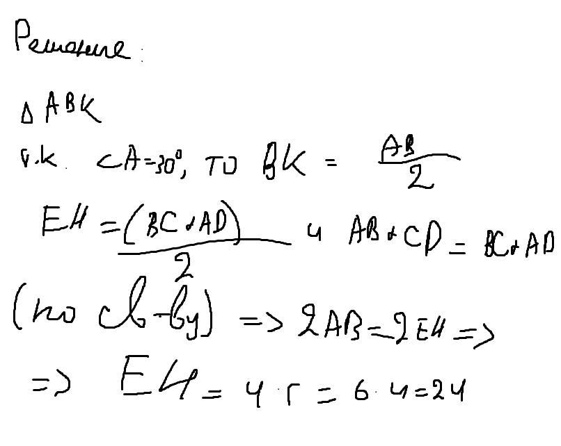
высота равно бедренного трапеции 7см.если основания угол 30градуса. нсли вписанно окружность трапеции. найти средней линии трапеции​

Ответы

Ответ дал: nikitabogoslov7
0

Ответ:

Смотрите фото

Объяснение:

Приложения:

tumarisprimbetova: сможете рис отправить?
nikitabogoslov7: Да, уже прикрепил, посмотрите, пожалуйста)
Вас заинтересует