• Предмет: Алгебра
  • Автор: vitalijvasilishin11
  • Вопрос задан 3 года назад

Розвяжіть систему нерівностей
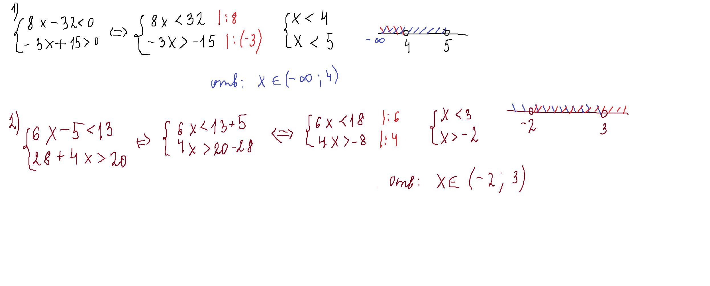
1)8х-32<0
-3х+15>0


2) 6х-5<13
28+4х>20
будь ласка допоможіть даю 25 балів​

Ответы

Ответ дал: Veronika724
1

1)

\begin{equation*}\begin{cases}8x-32&lt;0\\-3x+15&gt;0\end{cases}\end{equation*}\ \ \ \Leftrightarrow\ \begin{equation*}\begin{cases}8x &lt; 32\\-3x &gt; -15\end{cases}\end{equation*}\ \ \ \Leftrightarrow\ \begin{equation*}\begin{cases}x &lt; 4\\x &lt; 5\end{cases}\end{equation*}\ \ \ \Rightarrow\ \boxed{\bf{x&lt;4}}

Ответ:  x \in (-\infty;4).

2)

\begin{equation*}\begin{cases}6x - 5 &lt; 13\\28 + 4x &gt; 20\end{cases}\end{equation*}\ \ \ \Leftrightarrow\ \begin{equation*}\begin{cases}6x &lt; 18\\4x &gt; -8\end{cases}\end{equation*}\ \ \ \Leftrightarrow\ \begin{equation*}\begin{cases}x &lt; 3\\x &gt; -2\end{cases}\end{equation*}

Ответ:  x \in (-2; 3).

Ответ дал: parus77
0

Ответ:

Объяснение:

решение внизу

Приложения:
Вас заинтересует