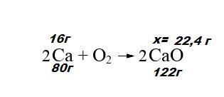
При сгорании 16 г кальция образовался оксид кальция. Вычислить его массу.
34 г
22,4 г
14,5 г
16,8 г
56 г
Ответы
Ответ дал:
3
Ответ:
ответ на фото
Объяснение:
Приложения:

Вас заинтересует
2 года назад
2 года назад
7 лет назад
9 лет назад