Ответы
Ответ дал:
0
Ответ:
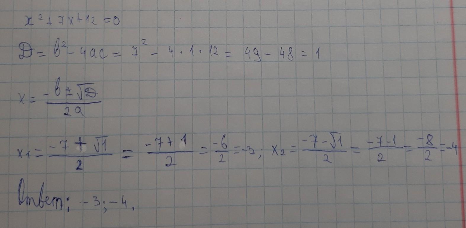
х²+7х+12=
х²+4х+3х+12=
х×(х+4)+3(х+4)=
(х+4)×(х+3)
Ответ дал:
0
Ответ:
...............................................
Приложения:

Вас заинтересует
2 года назад
2 года назад
2 года назад
2 года назад
7 лет назад
7 лет назад
9 лет назад
9 лет назад