• Предмет: Математика
  • Автор: nestannaimanbaeva
  • Вопрос задан 3 года назад

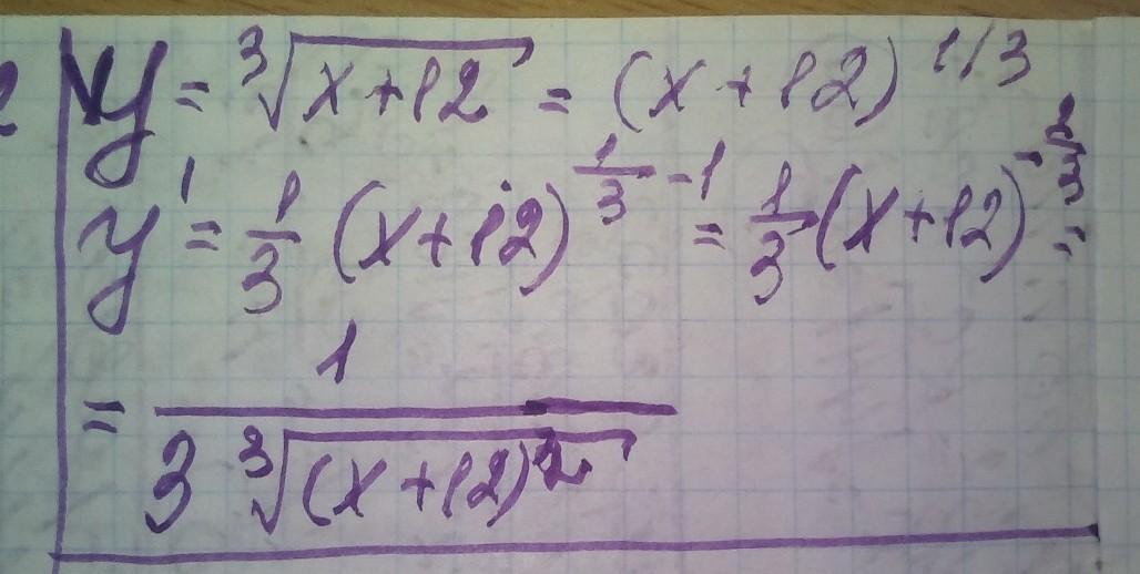
найдите производную функции y= √x+12 все это в корне третьей степени

Ответы

Ответ дал: manyny06
0

Ответ:

решение смотри на фотографии

Приложения:
Вас заинтересует