• Предмет: Математика
  • Автор: jsjsjsjjuwuwuwusgsv
  • Вопрос задан 3 года назад

100балов
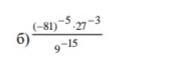
помогите пожалуйста​

Приложения:

Ответы

Ответ дал: bekon45
0

Ответ:

-3 ответ правильный

Приложения:
Вас заинтересует