• Предмет: Алгебра
  • Автор: makenty1978
  • Вопрос задан 3 года назад

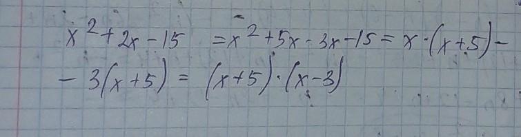
Найдите корни квадратного трехчлена x²+2x-15​

Ответы

Ответ дал: natalaskidanova
1

Ответ:

Надеюсь успела помочь

Приложения:

makenty1978: ok
natalaskidanova: 2х2+x-10=2x2+5x-4x-10=x•(2x+5)-2(2x+5)=(2x-5)(x-2)
natalaskidanova: я равно забыла вписать
makenty1978: типа = (x-2)
makenty1978: ???
natalaskidanova: 2х-5=0. 2х=5. х=5/2
natalaskidanova: х-2=0. х=2
makenty1978: Давай я добавлю щас вопрос а ты напишешь на тетрадке
makenty1978: ок?
natalaskidanova: ок
Вас заинтересует