• Предмет: Математика
  • Автор: sonartem75528
  • Вопрос задан 3 года назад

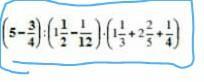
кто ответит дам 20 баллов​

Приложения:

Ответы

Ответ дал: adiletkz04
0

Ответ:

239/20

Пошаговое объяснение:

Вот правилно ❤ лаик

Вас заинтересует