• Предмет: Математика
  • Автор: KGZKRUTOI
  • Вопрос задан 3 года назад

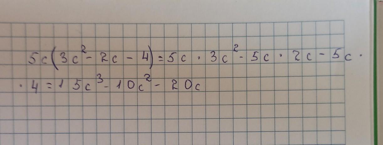
выполните действия. б)5c (3c²-2c-4)​

Ответы

Ответ дал: Leia12
1

Ответ:

=15с3-10с2-20с

Пошаговое объяснение:

________________

Приложения:
Вас заинтересует