• Предмет: Математика
  • Автор: Аноним
  • Вопрос задан 3 года назад

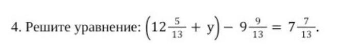
помогите пожалуйста​

Приложения:

Ответы

Ответ дал: babyasyyya
0

Ответ:

y=4 * 11/13

Пошаговое объяснение:

Приложения:
Вас заинтересует